- 开关变压器伏秒容量参数的考虑和测量
- 伏秒容量VT表示:一个变压器能够承受多高的输入电压和多长时间的冲击
- 在变压器伏秒容量一定的条件下,输入电压越高,变压器能够承受冲击的时间就越短
- 反之,输入电压越低,变压器能够承受冲击的时间就越长
- 一定工作电压条件下,变压器伏秒容量越大,变压器铁芯中磁通密度就越低,变压器铁芯就不容易饱和
- 变压器铁芯的气隙长度留得越大,其平均导磁率就越小,而变压器铁芯就不容易饱和
- 但变压器铁芯的平均导磁率越小,变压器初、次级线圈之间的漏感就越大
- 在实际应用中,一般把变压器磁芯有效导磁率下降到最大值的70%时的温度,定义为居里温度点
- 对开关电源变压器进行设计时工作温度最好不要超过110℃
编者按:本文是陶显芳老师专门为进行公司内部培训而写的文章。非常感谢陶老师把它拿出来和大家分享。陶老师撰写文章的初衷是为了提高本公司产品的质量水平和提高本公司设计人员的业务水平;现在我们将它在更大的范围内推广,相信会对提高整个产业的技术水平带来帮助。这是一件非常好的事情,再次感谢陶老师。大家看后有疑问可在电子元件技术网陶老师主持的“电子系统电磁兼容与电路保护”专家论坛里提出,陶老师会给大家满意的答复。
长期以来,我们公司产品中使用的开关电源变压器、行推动变压器、高压包等等开关变压器,在对其进行参数设计或测试的时候,只关心它的电感参数以及输入、输出电压、电流参数,而对于它的伏秒容量参数就很少有人进行考虑和测量。
最近,由于公司部份产品的开关电源出了故障,才开始意识到开关电源变压器伏秒容量参数的重要性。因此,这里简单介绍一下什么是开关电源变压器的伏秒容量,然后再分析怎样对开关电源变压器的伏秒容量进行测量,并定义其测量方法。
一、什么是变压器的伏秒容量
图1是反激式开关电源的工作原理图,我们公司几乎所有的CRT电视机都是采用反激式开关电源。

在图1中,当输入电压E加于开关电源变压器初级线圈N1的两端时,由于变压器次级线圈产生的电动势与流过二极管的电流方向正好相反,相当于所有次级线圈均开路,此时开关变压器相当于一个电感L1。其等效电路如图2-a) 所示,图2-b) 是开关接通时,电感两端的电压和流过电感L1的电流。

从图2可以看出,流过变压器的电流只有励磁电流,变压器铁心中的磁通量全部都是由励磁电流产生的。如果开关电源变压器初级线圈的电感量是恒定的,或变压器铁芯的导磁率永远保持不变;那么,当控制开关接通以后,流过变压器初级线圈的励磁电流就会随时间增加而线性增加,变压器铁心中的磁通量也随时间增加而线性增加。根据电磁感应定理:

式中e1为变压器初级线圈产生的电动势,L1为变压器初级线圈的电感量,
为变压器铁心中的磁通量,E为变压器初级线圈的输入电压。其中磁通量 还可以表示为:

上式中,k是一个与单位制相关的系数,S为变压器铁心的导磁面积,B为磁感应强度,也称磁通密度,即:单位面积的磁通量。把(2)式代入(1)式,并进行积分:

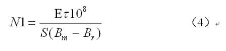
由此求得:

或

(4)式就是计算反激式开关电源变压器初级线圈N1绕组匝数的公式。式中,N1为变压器初级线圈N1绕组的最少匝数,S为变压器铁心的导磁面积,单位:平方厘米;Bm为变压器铁心的最大磁感应强度,单位:高斯;Br为变压器铁心的剩余磁感应强度,单位:高斯),Br一般简称剩磁;τ = Ton,为控制开关的接通时间,简称脉冲宽度,或电源开关管导通时间的宽度,单位:秒;E为工作电压,单位为伏。式中的指数是统一单位用的,选用不同单位制,指数的值也不一样,这里选用CGS单位制,即:长度为厘米(cm),磁感应强度为高斯(Gs),磁通单位为麦克斯韦(Mx)。
(5)式中,
就是变压器的伏秒容量,即:伏秒容量等于输入脉冲电压幅度与脉冲宽度的乘积,这里我们把伏秒容量用VT来表示。伏秒容量VT表示:一个变压器能够承受多高的输入电压和多长时间的冲击。
在变压器伏秒容量一定的条件下,输入电压越高,变压器能够承受冲击的时间就越短,反之,输入电压越低,变压器能够承受冲击的时间就越长;而在一定的工作电压条件下,变压器的伏秒容量越大,变压器的铁芯中的磁通密度就越低,变压器铁芯就不容易饱和。
当变压器的铁芯面积固定以后,变压器的伏秒容量主要就是由磁通增量⊿B(⊿B = Bm-Br)的大小以及变压器初级线圈的匝数N1来决定。另外,我们知道,磁感应强度是由磁场强度来决定的,即磁通增量⊿B也是由磁场强度来决定的。如图3所示。图3中,虚线B为变压器铁芯的初始磁化曲线,初始磁化曲线就是变压器铁芯还没有带磁,第一次使用时的磁化曲线,一旦变压器铁芯带上磁后,初始磁化曲线就不再存在了。因此,在开关变压器中,变压器铁芯的磁化一般都不是按初始磁化曲线来进行工作的,而是随着磁场强度增加和减少,磁感应强度将沿着磁化曲线ab和ba,或磁化曲线cd和dc,来回变化。当磁场强度增加时,磁场强度对变压器铁芯进行充磁;当磁场强度减少时,磁场强度对变压器铁芯进行退磁。
磁场强度由0增加到H1,对应的磁感应强度由Br1沿着磁化曲线ab增加到Bm1;而当磁场强度由H1下降到0时,对应的磁感应强度将由Bm1沿着磁化曲线ba下降到Br1。如果不考虑磁通的方向,磁通的变化量就是⊿B1 ,即磁通增量⊿B1 = Bm1-Br1。如果磁场强度进一步增大,由0增加到H2,则磁化曲线将沿着曲线cd和dc进行,对应产生的磁通增量⊿B2 = Bm2-Br2。

由图3中可以看出,对应不同的磁场强度,即不同的磁化电流,磁通变化量也是不一样的,并且磁通变化量与磁场强度不是线性关系。图4是磁感应强度与磁场强度相互变化的函数曲线图。图4中,曲线B是磁感应强度与磁场强度对应变化的曲线;曲线 为导磁率与磁场强度对应变化的曲线。其中:


由图4中可以看出,导磁率最大的地方并不是磁感应强度或磁场强度最小或最大的地方,而是位于磁感应强度或磁场强度的某个中间值的地方。当导磁率达到最大值之后,导磁率将随着磁感应强度或磁场强度增大,而迅速下降;当导磁率下降到将要接近0的时候,我们就认为变压器铁芯已经开始饱和。如图中Bs和Hs。
由于导磁率的变化范围太大,且容易饱和,因此,一般开关电源使用的开关变压器都要在变压器铁芯中间留气隙。图5-a) 是中间留有气隙变压器铁芯的原理图,图5-b) 是中间留有气隙的变压器铁芯的磁化曲线图,及计算变压器铁芯最佳气隙长度的原理图。
图5-b) 中,虚线是没留有气隙变压器铁芯的磁化曲线,实线是留有气隙变压器铁芯的磁化曲线;曲线b是留有气隙变压器铁芯的等效磁化曲线,其等效导磁率,即曲线的斜率为
;
是留有气隙变压器铁芯的平均导磁率;
是没留有气隙时变压器铁芯的导磁率。

由图5可以看出,变压器铁芯的气隙长度留得越大,其平均导磁率就越小,而变压器铁芯就不容易饱和;但变压器铁芯的平均导磁率越小,变压器初、次级线圈之间的漏感就越大。因此,变压器铁芯气隙长度的设计是一个比较复杂的计算过程,并且还要根据开关电源的输出功率以及电压变化范围(占空比变化范围)综合考虑。比如,对于行输出回扫变压器(高压包)铁芯气隙长度的设计就要比主开关电源变压器的铁芯气隙长度的设计容易非常多。
实际上我们公司使用的开关电源变压器基本上没有人进行过气隙长度的设计,而是设计师根据变压器的功率把变压器初级电感量和匝数比计算好后,就让变压器生产厂自己调节变压器的铁芯气隙长度,以此来满足设计师的要求,这种设计方法很容易出现质量问题,最大的质量问题就是磁芯出现磁通密度饱和。
另外,变压器磁芯也是一种半导体材料(金属氧化物),很多半导体器件就是用金属氧化物来制造的,如热敏电阻、场效应管等。半导体材料的特性就是受温度的影响很灵敏,当温度上升到一定范围以后,变压器磁芯的电阻率就会变小,并开始导电。
因此,当温度升高到一定范围以后,在变压器磁芯内部就会产生很大的涡流损耗,并使铁芯有效导磁率急速下降。这个使变压器磁芯有效导磁率急速下降的温度点,我们把它称为居里温度点。在实际应用中,一般我们可以把变压器磁芯有效导磁率下降到最大值的70%时的温度,定义为居里温度点。如图6所示。

图6是日本TDK公司高导磁率材料H5C4系列磁芯初始导磁率 随温度变化的曲线图,其居里温度大约为105℃。
由图6可以看出,变压器磁芯的使用环境温度,对变压器的性能影响是非常大的。但我们在使用开关电源变压器的时候,就很少有人去考虑或检测变压器磁芯的居里温度。大部份开关电源变压器磁芯的居里温度都在120℃左右,因此,我们对开关电源变压器进行设计时工作温度最好不要超过110℃。




