【导读】如果系统精度、效率和可靠性至关重要,设计传感器节点 无线数据传输以用于远程监控会是一个相当大的挑战。溶 液的pH值是许多行业需要考虑的一种测量,例如农业或医 疗领域。本文的主要目的是评估pH玻璃探针的特性,从而 解决硬件和软件设计的不同挑战,并提出一种利用射频收 发器??榇犹秸胛尴叽涫莸慕饩龇桨浮?/strong>
简介
本文第一部分介绍pH探针,然后探讨与前端信号调理电路相关 的各种设计挑战,以及如何实现低成本、高精度、高可靠性的数 据转换。为了提高数据处理的精度,讨论中还会涉及校准技术, 例如一般多项式拟合,即利用最小二乘法逼近分散的预定义数 据来校准pH值。本文最后一部分提供一种无线监控系统参考电 路设计。
了解pH探针
pH值定义
水溶液可分为酸性、碱性和中性三类。在化学中,酸碱度通过一 种数值尺度来衡量,称为pH值。依据嘉士伯基金会的定义,pH值 代表氢离子浓度。此尺度是一个对数尺度,范围为1到14。pH值的 数学表达式为:pH = –log(H+)。因此,如果氢离子浓度为1.0 × 10–2 摩尔/升,则pH = –log(1.0 × 10–2) = 2。蒸馏水等水溶液的pH值为 7,这是一个中性值。pH值小于7的溶液为酸性溶液,大于7的溶液 为碱性溶液。对数尺度反映了一种溶液相对于另一种溶液的酸 性程度。例如,pH值为5的溶液,其酸度是pH值为6的溶液的10倍,是pH值 为8的溶液的1000倍。
pH指示器
有很多办法可测量水溶液的pH值,包括通过石蕊试纸指示器或 使用玻璃探针。
石蕊试纸
石蕊试纸指示器通常由从地衣提取的染液制成,可用来指示pH 水平。一旦与溶液接触,试纸就会发生化学反应,导致其颜色改 变,由此指示pH水平。这一类大体上包括两种方法:一种是将已 知pH值对应的标准颜色与利用缓冲溶液浸入测试液体的指示器 颜色进行比对;另一种是将pH试纸先浸没在指示器中,然后浸入 测试液体中,将其颜色与标准颜色进行比对。虽然上述两种方法 很容易实现,但是温度和测试溶液中的杂质很容易引起误差。
pH玻璃探针
最常用的pH指示器是pH探针。它由一个玻璃测量电极和一个参 比电极构成。典型玻璃探针由玻璃薄膜及其中封入的盐酸(HCl) 溶液组成。外壳内部有一根镀AgCl的银线,其充当参比电极并与 HCL溶液接触。玻璃膜外部的氢离子扩散通过玻璃膜,置换相应 数量的钠离子(Na+),多数玻璃中一般都存在钠离子。这种正离子 很敏锐,大部分限定在玻璃表面上浓度较低的一侧薄膜上。Na+ 的多余电荷在传感器输出端产生一个电压。探针类似于一块电池。当把探针置于溶液中时,测量电极产生 一个电压,其大小取决于溶液中氢的活性,然后将该电压与参 比电极的电位进行比较。随着溶液酸性的增强(pH值变低),玻 璃电极电位相对于参比电极阳性增强(+mV);随着溶液碱性的增 强(pH值变高),玻璃电极电位相对于参比电极阴性增强(-mV)。 这两个电极之差即为测得电位。在理想情况下,典型的pH探针在 25°C下会产生59.154 mV/pH单位,通常用能斯脱方程表示如下:
其中:

E = 氢电极电压,活性未知
a = ±30 mV,零点容差
T = 环境温度(25°C)
n = 1(25°C),价(离子上的电荷数)
F = 96485库仑/摩尔,法拉第常数
R = 8.314 伏特-库仑/°K摩尔,阿伏加德罗氏数
pH = 未知溶液的氢离子浓度
pHISO = 7,参比氢离子浓度
方程表明,产生的电压取决于溶液的酸度和碱度,并以已知方式 随氢离子活性而变化。溶液温度的变化会改变其氢离子的活性。 当溶液被加热时,氢离子运动速度加快,结果导致两个电极间电 位差的增加。另外,当溶液冷却时,氢活性降低,导致电位差下 降。根据设计,在理想情况下,当置于pH值为7的缓冲溶液中时, 电极会产生零伏特电位。
典型pH探针的规格如下表所示。
表1. pH玻璃探针的典型规格

pH探针在本研究中起着重要作用,因为数据可靠性取决于传感 器的精度和可靠性。选择pH探针时,有两个重要因素需要考虑: 缓冲溶液温度改变之后的稳定时间及其pH值改变之后的稳定时 间。作为例子,下面的数据摘自Jenway的应用笔记“Jenway高性能 pH电极评估”1 ,显示了探针在给定测试条件下发生温度变化后 的稳定性能。制备一种溶液,其缓冲液在20°C时的pH值为7,在 60°C时的pH值为4。让各电极在以200 rpm转速搅拌的pH 7缓冲液 中稳定。然后用去离子水清洗电极,并将其转移到pH 4缓冲液的 等分试样中放置4分钟。再次用去离子水清洗电极,然后将其放 回到pH 7缓冲液中。评估读数持续10秒保持稳定所需的时间。对 每个探针重复测试三次。
表2. 缓冲溶液温度改变之后的稳定时间

表3. 缓冲溶液pH值改变之后的稳定时间

在所示给定条件下,Jenway探针的性能与通用pH探针相比,响应 时间要快最多50%。使用类似这样的仪表会非常有利,因为其样 本吞吐速率很高,分析数据所需的时间会大大缩短。
传感器模拟信号调理电路
为了理解信号调理电路,必须知道传感器探针的等效电路图。 如上一节所述,pH探针由玻璃制成,可形成极高的电阻,范围从1 MΩ到1 GΩ不等,充当与pH电压源串联的电阻,如图1所示。

图1. pH探针等效电路配置
即使非常小的电路电流流经电路中各器件的高电阻(尤其是测 量电极的玻璃膜),这些电阻上也会产生相对较大的压降,严 重降低仪表测得的电压。更糟糕的是,测量电极产生的电压差 非常小,处于毫伏范围(理想情况下,室温时每pH单位对应59.16 mV)。用于此任务的仪表必须非常灵敏,并且有超高输入电阻。
模数转换
对于此类应用,给定传感器的响应时间时,数据采样速率将是一 个问题。假设传感器分辨率为0.001 V rms,ADC满量程电压范围为 1 V,则实现9.96位的有效分辨率无需高分辨率ADC。无噪声分辨 率单位为位,用下式定义:无噪声分辨率 = log2 [满量程输入电压 范围/传感器峰峰值电压输出噪声]。ADC采样速率对低功耗应用 可能是一个重要因素,因为ADC的采样速率与功耗直接相关。在 传感器的响应时间一定时,典型ADC采样速率可设置为其最低吞 吐速率??刹捎眉葾DC的微控制器以减少器件数量。
收发器
传输pH和温度数据需要收发器,控制收发器需要微控制器。收 发器和微控制器的选择涉及到一些重要考量。
选择收发器必须考虑如下因素:
● 工作频率
● 最大距离范围
● 数据速率
● 许可
工作频率
设计RF传输必须确定工作频率(OF),sub-GHz或2.4 GHz频率能否满 足应用要求。在需要高数据速率和使用蓝牙等宽带宽的应用中, 2.4 GHz频率是最佳选择。但工业应用通常使用sub-GHz频率,因 为可用的专有协议能方便地提供网络链路层。专有系统主要使用 sub-GHz范围内的ISM频率,即433 MHz、868 MHz和915 MHz。
最大距离范围
Sub-1 GHz频率支持25 km以上的长距离、大功率传输。当用于点对 点或星形拓扑时,这些频率可有效穿透墙壁和其他障碍物。
数据速率
数据速率也需要确定,它会影响收发器的传输距离能力和功耗。 数据速率较高时,功耗较低,可以用于短距离传输;而数据速率 较低时,功耗较高,可以用于长距离传输。要降低功耗,提高数 据速率是一个好办法,因为它只在很短的时间内以突发方式消耗 电流,但这样做也会缩短无线电覆盖距离。
收发器功耗
收发器功耗对电池供电应用非常重要。这在许多无线应用中也是 一个考虑因素,因为它决定了数据速率和距离范围。收发器有两 个功率放大器(PA)选项以提供更大的使用灵活性。单端PA可以输 出最多13 dBm的RF功率,差分PA可以输出最多10 dBm的功率。表 4总结了一些PA输出功率与收发器IDD电流消耗的关系。为完整起 见,表中同时给出了接收模式的电流消耗。
表4. PA输出功率与收发器IDD电流消耗小结

许可
Sub-GHz包括433 MHz、868 MHz和915 MHz的免许可ISM频段。它广 泛用于工业中,非常适合各种无线应用。它可以用在世界上的不 同地区,因为它符合欧洲ETSI EN300-220法规、北美FCC Part 15法 规及其他类似监管标准。
微控制器
如图2所示,RF系统的核心是一个处理器单元或微控制器(MCU), 其处理数据并运行与收发器(用于RF传输)和pH参考设计(RD)板 (用于传感器测量)接口的软件堆栈。

图2. 无线传感器数据采集和传输框图
选择微控制器必须考虑如下因素:
● 外设
● 存储器
● 处理能力
● 功耗
外设
微控制器应集成SPI总线之类的外设。收发器和pH参考设计板均 通过SPI连接,因此需要两个SPI外设。
存储器
借助适当大小的存储器,微控制器执行协议处理和传感器接口 任务。Flash和RAM是微控制器的两个极重要组成部分。为确保系 统不会用尽存储空间,使用128 kB内存。这必定会让应用和软件 算法流畅运行,并且为可能的升级和功能增加(以便消除系统问 题)留有余地。
架构和处理能力
微处理器必须足够快,以便处理复杂的计算和流程。该系统使用 32位微处理器。虽然位数较低的处理器可能也可行,但本系统选 择使用32位以支持潜在更高的应用和算法需求。
微处理器功耗
微处理器的功耗应非常低。对于那些依赖电池供电且必须在无 维保的情况下运行数年的应用,功耗至关重要。
其他系统考量
差错校验
通信处理器在发射模式下将CRC附加于有效载荷,在接收模式下 检测CRC。有效载荷数据加上16位CRC可以利用曼彻斯特编码技 术进行编码/解码。
成本
系统应当使用最少的器件和最小的板尺寸,因为当成本是关键 要求之一时,这些常常是决定性因素。不要使用分立器件,必须 考虑由MCU和无线器件组成的集成解决方案。这样可消除无线 电和MCU之间互连的设计难题,简化电路板设计,使设计流程更 直接了当,并缩短焊线,使其更不易受干扰影响。利用集 ARM® Cortex®-M MCU和无线电收发器于一体的单个芯片,可以减少电路 板器件数量,简化电路板布局布线,降低总成本。
校准
执行校准例程是实现高精度的关键环节之一。能斯脱方程所描 述的pH溶液的一个特征是其高度依赖于温度。传感器探针仅给 出一个恒定的失调,可认为该失调在所有温度水平都是恒定的。 由于其高度依赖于温度,本系统必须有一个确定溶液温度的传 感器。
可以使用直接代入能斯脱方程之类的方法,但由于溶液的非理想 特性,可能会产生某种程度的误差。这种方法仅需测量系统的失 调和未知溶液的温度。为确定该传感器引入的失调,需要一种pH 值为7的缓冲溶液。理想情况下,传感器应产生0 V输出。ADC读数 将是系统失调电压。典型pH探针传感器的失调可能高达±30 mV。
实践中常常使用另一种方法,即利用多种缓冲溶液来设置一些点 以构建一般的线性或非线性方程。在此例程中,需要两种经NIST 认证并可追溯的额外pH缓冲溶液。这两种额外缓冲溶液的pH值 至少应相差2。
通过缓冲溶液执行校准的方法如下:
● 第1步:从第一种缓冲溶液中移出电极组件并用去离子水或 蒸馏水清洗之后,将带温度传感器的pH探针浸入所选的第 二种缓冲溶液中。
● 第2步:重复第2步,但使用第三种缓冲溶液。
● 第3步:根据利用所选缓冲溶液测得的值建立方程。
可利用多个数学方程导出校准方程。常用公式之一是点斜式直线 方程。此方程使用校准期间获得的两点:P1 (Vm1, pH1)和P2 (Vm2, pH2),其中P1和P2是利用所选缓冲溶液测得的点。为了确定未知 溶液的pH值,对于给定点Px (Vmx, pHx),可以利用方程进行简单的 线性插值:

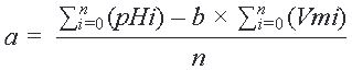
若有多组点,为提高精度,可使用一阶线性回归。给定n个数据 P0 (Vm0, pH0), P1 (Vm1, pH1), P2 (Vm2, pH2), P3 (Vm3, pH3), ... , Pn (Vmn, pHn), 可以利用最小二乘法建立一般方程, pHx = a + b × Vmx, 其中b为直线的斜率,a为截距,其值如下:

以及

最小二乘逼近法可扩展到更高阶,例如二阶非线性方程。一般二 阶方程可以表示为:pHx = a + b × Vmx + c × Vmx2。a、b和c的值可 计算如下:

这个方程组可通过代入、消元或矩阵方法来求解,从而获得未知 变量a、b、c的值。
硬件设计解决方案
缓冲放大器
在此给定条件下,为使电路与该高源电阻隔离开来,需要一个高 输入阻抗、超低输入偏置电流的缓冲放大器。低噪声运算放大器 AD8603可用作该应用的缓冲放大器。AD8603的低输入电流可以 最大限度地减少流过电极电阻的偏置电流所产生的电压误差。 就25°C下串联电阻为1 GΩ的pH探针来说,对于200 fA典型输入偏 置电流,失调误差为0.2 mV (0.0037 pH)。即使在1 pA的最大输入偏 置电流下,误差也只有1 mV。虽然不一定需要,但可以利用防护、 屏蔽、高绝缘电阻支柱以及其他此类标准皮安方法来最大限度 地减少所选缓冲器高阻抗输入端的泄漏。
模数转换器
低功耗ADC适合这种应用。16位Σ-Δ型ADC AD7792支持精密测量应 用。它有一个低噪声3通道输入,当更新速率为4.17 Hz时,噪声仅 有40 nV rms。该器件采用2.7 V至5.25 V电源供电,典型功耗为400 μA,采用16引脚TSSOP封装。其他特性包括4 ppm/°C温漂(典型 值)的内置带隙基准电压源、最大1 μA的关断功耗以及内置时钟 振动器,因此所需器件数量和PCB空间得以减少。
选择RF收发器
基于前述要求, ADuCRF101最适合这种应用。
ADuCRF101是一款针对低功耗无线应用而设计的完全集成式数据 采集解决方案,工作频率范围为431 MHz至464 MHz和862 MHz至 928 MHz。它集成了通信外设,例如应用所需的两条SPI总线。片内 提供128 kB非易失性Flash/EE存储器和16 kB SRAM。它是集成微控 制器和收发器的单芯片解决方案,这使得器件数量和电路板尺 寸减至最小。
ADuCRF101直接采用2.2 V至3.3 V电压范围的电池供电,功耗如下:
● 280 nA(关断模式,非保留状态)
● 1.9 μA(关断模式,处理器存储器和RF收发器存储器保留)
● 210 μA/MHz(Cortex-M3处理器处于激活模式)
● 12.8 mA(RF收发器处于接收模式,Cortex-M3处理器处于关 断模式)
● 9 mA至32 mA(RF收发器处于发射模式,Cortex-M3处理器处 于关断模式)
软件实现
软件是无线传输系统的关键部分之一。它决定了系统如何工作, 对系统功耗也有影响。该系统有两个软件部分,分别是协议堆栈 和应用程序堆栈。使用的协议堆栈为ADRadioNet—一种用于ISM 频段的无线网络协议。它采用IPv6地址,集合了此类解决方案需 要的大部分特性,例如低功耗、多跳、端对端应答、自愈等。应用 程序堆栈是一个通过SPI访问pH参考设计板的软件。
为了高效运行这两个软件堆栈,使用了一个简单的调度程序。一 个非抢占式调度程序处理协议堆栈任务,为其功能分配一定的时 间和资源。然而,系统中定义的任务数量是有限的。为了高效工 作,非抢占式调度程序必须在其时间消逝之前完成已定义任务的 执行。对于系统中的两个堆栈,非抢占式调度程序正合适,因为 分配给它的已定义任务数量是有限的。
结语
本文介绍了pH无线传感器监控设计方面的不同挑战和解决方 案。已经证明,ADI数据采集产品可用来应对pH测量的各种挑战。 AD8603运算放大器或任何具有高输入阻抗的同等ADI放大器,可 用来抵消传感器的高输出阻抗,从而提供足够的屏蔽,防止系统 加载。ADuCRF101数据采集系统IC可提供完整的RF数据传输解决 方案。数据采集的高精度既可利用精密放大器和ADC硬件实现, 也可通过软件校准实现,即利用数学统计建立一个一般方程,例 如各种曲线拟合法。
参考电路
1 Jenway应用笔记,Jenway高性能pH电极评估。Jenway。 Jenway.
推荐阅读:




