【导读】如参考文献中所描述,可采用标准过程来确定锁相环(PLL)中二阶环路滤波器的R0、C0 和CP 数值。它采用开环带宽(ω0)和相位裕量(?M)作为设计参数,并可扩展至三阶环路滤波器,从而确定R2 和C2(图1)。该过程可直接解出CP,然后推导出其余数值。
2 可能是集成在PLL内的固定值元件,因此仅有R0 和C0 用来控制环路响应。这便使得上述过程无效,因为无法调节CP。本文提出一种替代过程,可在CP 数值固定时使用,突破了无法控制CP 值造成的限制。

图1. 典型二阶和三阶无源环路滤波器
假设条件
本环路滤波器设计方法基于两个假设,在三阶无源滤波器设计中,通过调节R0 和C0 来补偿R2 和C2,可以将一个二阶环路滤波器设计扩展为三阶设计,此时通?;岵捎谜饬礁黾偕杼跫?。
R2 和C2 形成的极点频率应当至少比ω0(所需开环单位增益带宽)大一个数量级;f0 ≤ 0.1/(2πR2C2),其中f0 = ω0/(2π)。
R0-C0-CP 网络的R2 和C2 串联组合的负载可忽略不计。
二阶环路滤波器的传递函数
二阶环路滤波器有两个时间常数(T1 和T2)与元件有关:

环路滤波器传递函数的T1、T2 和CP 很重要,因为它对于PLL 的整体响应起着很大的作用:
PLL系统函数
图2 中的小信号模型为PLL响应的等式化提供了一种途径,并为分析输入端相位干扰所造成的输出端相位变化提供了模板。注意,压控振荡器(VCO)作为一个频率源,表现为理想的相位积分器,因而其增益(KV)系数为1/s(对积分进行等效拉普拉斯变换)。因此,PLL的小信号模型是复频率s的函数(s = σ + jω)。

图2. PLL小信号模型
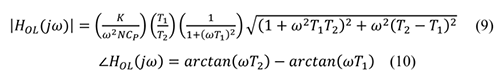
PLL的闭环传递函数(HCL)定义为:θOUT/θIN??反莺?HOL)定义为:θFB/θIN,与闭环传递函数相关。建议以HOL 来表示HCL,因为开环传递函数包含闭环稳定性的线索:

K 表示鉴频鉴相器(PFD)、电荷泵和VCO的组合增益——也就是说,K = KDKV,其中KD 表示电荷泵电流,单位为A;KV 表示VCO增益,单位为Hz/V。HOL、HCL 和HLF 均为s 的函数。等式4 中的负号表示图2 中求和节点的负反馈导致相位反转。根据等式4 定义的HOL导致等式5 中分母的减法运算,直观地解释了闭环稳定性。
检查等式5,可以发现潜在的环路稳定性问题。由于HOL 是复数频率s = σ + jω的函数,它必然具有取决于频率的幅度和相位分量。因此,对于任意的s 值,如果HOL 同时表现出单位增益和零点相移特性(或2π 弧度的整数倍),则HCL 分母为零,闭环增益再次变为未定义,系统变得极不稳定。这意味着稳定性受依赖于频率的HOL 幅度和相位特性所控制。事实上,在使得HOL 为单位幅度的频率处,HOL 相位必须离开零(或离开2π 任意整数倍)足够远,才能避免等式5 中的分母为零。
使HOL 为单位幅度处的频率ω0 非常重要。ω0 处的HOL 相位决定了系统的相位裕量?M。ω0 和?M 都可由HOL 推导得出。
根据ω0 和?M 定义R0 和C0
0 和C0
使用设计参数ω0 和?M 来确定R0 和C0 值要求表达式包含这四个变量,以及其它常数项??梢源拥仁? 入手,因为等式4 定义了HOL。这样便将HLF 加入其中,进而通过T1 和T2 加入R0 和C0。由于HOL 具有幅度和相位,因此原则上ω0 和?M 也能加入其中。将等式3 代入等式4,重新排列各项可得等式6;等式6 以T1 和T2 以及常数K、N 和CP 来表示HOL:
将等式3 代入等式4,重新排列各项可得等式6;等式6 以T1 和T2 以及常数K、N 和CP 来表示HOL:
在s = jω 时进行评估,可得HOL 频率响应如下:
分母中的(jω)2 项可简化为–ω2:
HOL 幅度和相位为:

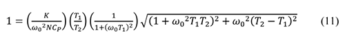
记住,T1 和T2 是R0、C0 和CP 代数组合的缩写表达式。ω = ω0 时评估等式9,并使|HOL| = 1 即可定义单位增益频率ω0,表示HOL 为单位幅度时的频率。

类似地,ω = ω0 时评估等式10,并使∠HOL = ?M 即可定义相位裕量?M,表示频率为ω0(单位增益频率)时的HOL 相位。
扩展等式11 和等式12 很容易,将等式1 中的T2 和等式2 中的T1 代入即可将R0 和C0 带入等式。因此,我们顺利地将ω0 和?M 与变量R0 和C0 以及常数K、N 和CP 相关联。
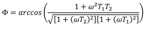
同时求解我们所得到的等式中的R0 和C0 很困难。MathCad®提供的符号处理器可求解这两个联立方程,但必须以arctan 代替arccos。进行变换后,符号处理器便可求解R0 和C0,得到下列解集(R0A、C0A;R0B、C0B;R0C、C0C;以及R0D、C0D)。有关对等式12 进行变换以便使用arccos 函数的详细信息请参见附录。

这个结果是有问题的,因为目标是在给定ω0 和?M 的情况下求解 R0 和C0;而运算结果表明存在四对可能的R0 和C0,而非唯一的R0、C0 对。然而,若进一步检查这四组结果,便可得出只有一组解。
注意,就PLL 建模而言,上述等式中的所有变量都具有正值,包括cos(?M);这是因为,?M 的范围限制在0 和π/2 之间。因此,C0A和R0B 显然是负数。由此可知,R0A、C0A 和R0B、C0B 可立即加以排除,因为元件值不可能为负,但需进一步分析R0C、C0C 和R0D、C0D。
注意,包含R0C、C0C 和R0D、C0D 在内的四个等式有公因数:
进一步分析可知,等式13 的形式为:a2 – (2ac)cos(β) + c 2。以b2表示该式,可得:
等式14 即为余弦定理,以a、b 和c 表示三角形的三条边长度,β 表示顶点对边b 的内角。由于b2 表示三角形一条边长度的平方,它必须为正,这也就意味着等式14 的等号右边也必须为正。因此,等式13 必须为正,意味着R0D 的分母为正。R0D 的分子同样为正,因此R0D 必须为负,这便排除了R0D、C0D。这使得仅有R0C、C0C对可作为等式11 和等式12 的解。

R0 和C0 的限制
虽然等式15 和等式16 有可能是等式11 和等式12 的公共解,但它们仅在R0 和C0 均为正时才有效。仔细检查R0 可知其为正——它的分子为正,因为cos2(x)范围为0 到1,且它的分母与等式13相同,由前文可知其为正。C0 分子同样与等式13 相同,因此只要分母满足下列条件,C0 就为正:
图3 以图形方式表示这种关系;不等式17 左右两侧均等于y(蓝色曲线和绿色曲线),水平轴共享ω0 和?M。两条曲线的交点表示ω0 和?M 的边界。红色弧线部分所表示的条件使等式17 成立。红色弧线下方的水平轴部分决定了C0 为正的?M 和ω0 范围。注意,蓝色曲线和绿色曲线交点正下方水平轴上的点确定了?M_MAX,即?M 的最大值;该值确保C0 为正。
等式18 要求CPNω02 小于K,才能满足?M_MAX 的arccos 范围为0到π/2 的限制条件。这便确定了ω0_MAX,即ω0 的上限,保证C0为正。

图3. C0 分母的限制条件
补偿R2 和C2(三阶环路滤波器)
就三阶环路滤波器而言,R2 和C2 分量产生额外的相移Δ?;该相 移与二阶环路滤波器有关:
为了处理这个额外的相移,应将其从所需的?M 值中扣除。
将?M_NEW 代入等式15 和等式16 可得到不同的R0 和C0,然后针对二阶解,将新数值用来补偿R2 和C2 引入的额外相移。R2 和C2 的存在还会影响?M_MAX,即?M 的最大允许值。?M 新的最大值(?M_MAX_NEW)为:
结论
本文演示了仅有R0 和C0 元件值可调节时,如何使用开环单位增益带宽(ω0)和相位裕量(?M)作为二阶或三阶环路滤波器的设计参数。采用R0 和C0 的二阶环路滤波器仿真PLL,结果与HOL 以及由此得到的相位裕量理论值完美吻合,从而验证了这些等式。根据等式19和等式18,参数ω0和?M 针对二阶环路滤波器分别具有上限值。
确定R0 和C0 的过程中对二阶环路滤波器进行了假设,但通过将所需的相位裕量(?M)根据等式21 调节为新的值(?M_NEW)便可扩展应用到三阶环路滤波器的设计中,进而根据等式22 得到一个新的上限值(?M_MAX_NEW)。
虽然使用二阶环路滤波器进行仿真可验证等式15 和等式16,但若要验证将设计过程扩展至三阶环路滤波器的等式则需对环路滤波器响应HLF(s)进行重新定义,使其包含R2 和C2,如下所示:

将HLF 的这种形式应用到HOL 和HCL 等式,便可使用R0 和C0 仿 真三阶环路滤波器设计。对其进行仿真可知,当使用三阶环路滤波器时,由理论频率响应和相位裕量推导而得的R0 和C0 计算值与PLL 的HOL 有关。这主要是因为受到了三阶环路滤波器中HOL的R2 和C2 影响。
如前所述,R0 和C0 等式假定为使用二阶环路滤波器,但在二阶滤 波器中不存在R2 和C2,因此虽然通过调节R0 和C0 可以补偿R2和C2 造成的相移,但是将它们看做二阶环路滤波器的一部分还是会构成一个误差源。然而,哪怕存在这样的误差,仿真结果也表明,使用经过调节的R0 和C0 值,但将ω0 限制在最高为等式19推导结果的¼也能获得令人满意的结果。事实上,仿真开环带宽和相位裕量的结果表明,使用三阶环路滤波器的PLL,其与设计参数(ω0 和?M)的偏差很小。
仿真结果
以下为针对三阶环路滤波器PLL 运行四次仿真的结果。所有仿真均采用下列固定环路滤波器元件和PLL 参数:
CP = 1.5 nF
R2 = 165 kΩ
C2 = 337 pF
KD = 30 µA
KV = 3072 (25 ppm/V at 122.88 MHz)
N = 100
仿真1 和仿真2 使用ω0 = 100 Hz,该值接近124.8 Hz 的计算上限值(ω0_MAX)。因此,仿真1 和仿真2 偏离设计参数值(ω0 和?M)约10%。另一方面,仿真3 和仿真4 使用ω0 = 35 Hz,约为上限值的¼。与预期相一致,仿真3 和仿真4 非常接近设计参数(ω0和?M),误差仅为1%左右。
表1 汇总了仿真结果,并囊括了给定设计参数ω0 和?M 的R0、C0、ω0_MAX 和?M_MAX 计算值。注意,为了方便进行对比,建议仿真1和仿真3 都使用?M = 80°,但仿真1 必须满足等式22 的限制条件,即?M
表1:仿真结果汇总

图4 和图5 显示各仿真的开环和闭环响应。

图4. 开环增益和相位

图5. 闭环增益
附录—将非连续Arctan 函数转换为连续Arccos 函数
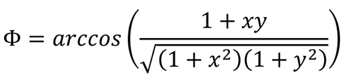
等式10 演示了角度? 等于角度θ2 和角度θ1 之差,其中θ2 =arctan(ωT2),θ1 = arctan(ωT1)。此外,ωT2 可以表示为x/1;ωT1 可以表示为y/1:

这表明两者之间存在如图6 所示的几何关系,其中θ1 和θ2 分别由图6 (b)和图6 (a)的三角形定义。图6 (c)结合了这两个三角形,表示?等于θ1 和θ2 之差。
余弦定理将三角形的某个内角(θ)与三角形的三条边(a、b 和c)相关联,关系式如下:

将余弦定理用在图6 (c)的? 角,得到:

图6. 等式10 的几何表示
求解?:

但是,由于x/1 = ωT2 且y/1 = ωT1,因此可用T1 和T2 来表示?。

参考电路
Brennan, Paul V. 锁相环:原理与实践. McGraw-Hill, 1996.
Keese, William O. AN-1001, National Semiconductor 应用笔记, 用于电荷泵锁相环的无源滤波器设计技术分析与性能评估. 1996 年 5 月。
MT-086:锁相环(PLL)基本原理
PLL 与集成VCO的PLL
推荐阅读:





